AOD 4-SPD A/T
AOD 4-spd A/T, Shift Speeds (4.9L Lt.Trk):

AOD 4-spd A/T, Shift Speeds (5.0L E150/E250):

AOD 4-spd A/T, Shift Speeds (5.0L EFI):

AOD 4-spd A/T, Shift Speeds (5.0L EFI,F-150/250,Bronco):

AOD 4-spd A/T, Clutch Plate Usage/Clearances:

AOD 4-spd A/T, Intermediate Clutch/Control Pressure:

AOD 4-spd A/T, Clutch/Band Application-Thrust Washers:

AOD 4-spd A/T, Gear Ratios (E150-250, F150-250, Bronco):

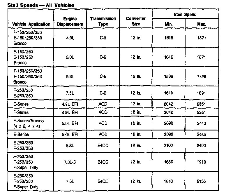
AOD 4-spd A/T, Converter Size/Stall Speed (ALL):

AOD 4-spd A/T, Transmission/Converter End Play:
